Seismic Refraction Surveying
Applied
Seismology
Earthquake
Seismology
Recordings of distant or
local earthquakes are used to infer earth structure and faulting characteristics.
Applied
Seismology
A signal, similar to a
sound pulse, is transmitted into the Earth. The signal recorded at the surface
can be used to infer subsurface properties. There are two main classes of
survey:

History of Seismology
Exploration seismic methods developed from early work on
earthquakes:
Applications
Seismic Refraction
Seismic Reflection
Stress and Strain
A force applied to the surface of a solid body creates internal
forces within the body:
Triaxial Stress
Stresses act along three orthogonal axes, perpendicular to
faces of solid, e.g. stretching a bar:

Pressure
Forces act equally in all directions perpendicular to faces
of body, e.g. pressure on a cube in water:

Strain Associated with Seismic Waves
Inside a uniform solid, two types of strain can propagate as
waves:
Axial Stress
Stresses act in one direction only, e.g. if sides of bar
fixed:

Shear Stress
Stresses act parallel to face of solid, e.g. pushing along a
table:

Hooke’s Law
Hooke’s Law essentially states that stress is
proportional to strain.

Constant of proportionality is called the modulus, and is ratio of stress to strain, e.g. Young’s modulus in triaxial strain.
Seismic Body Waves
Seismic waves are pulses of strain energy that propagate in
a solid. Two types of seismic wave can exist inside a uniform solid:
A) P waves (Primary, Compressional, Push-Pull)
Motion of particles in the solid is in direction of wave
propagation.

B) S waves (Secondary, Shear, Shake)
Particle motion is in plane perpendicular to direction of
propagation.
Seismic Surface Waves
No stresses act on the Earth's surface (Free surface), and two types of surface wave can
exist
A) Rayleigh waves

B. Love waves
Occur when a free surface and a deeper interface are
present, and the shear wave velocity is lower in the top layer.
Seismic Wave Velocities
The speed of seismic waves is related to the elastic
properties of solid, i.e. how easy it is to strain the rock for a given stress.
Speed of wave propagation is NOT speed at which particles
move in solid ( ~ 0.01 m/s ).

Constraints on Seismic Velocity
Seismic velocities vary with mineral content, lithology,
porosity, pore fluid saturation, pore pressure, and to some extent temperature.
Igneous/Metamorphic Rocks
In igneous rocks with minimal porosity, seismic velocity
increases with increasing mafic mineral content.
Sedimentary Rocks
In sedimentary rocks, effects of porosity and grain
cementation are more important, and seismic velocity relationships are complex.
Various empirical relationships have been estimated from
either measurements on cores or field observations:
1) P wave velocity as function of age and depth
km/s
where Z is depth in km and T is geological age in millions
of years (Faust, 1951).
2) Time-average equation

where f is porosity, Vf and Vm
are P wave velocities of pore fluid and rock matrix respectively (Wyllie,
1958).
Nafe-Drake Curve
An important empirical relation exists between P
wave velocity and density.

Waves and Rays
In a homogeneous, isotropic
medium, a seismic wave propagates away from its source at the same speed in
every direction.
Huygen’s Principle
Every point on a wavefront can be considered a secondary source of spherical waves, and the
position of the wavefront after a given time is the envelope of these secondary
wavefronts.

Reflection and Refraction at Oblique Incidence
When a P wave is incident on a boundary, at which elastic
properties change, two reflected waves (one P, one S) and two transmitted waves
(one P, one S) are generated.

Angles of transmission and reflection of the S waves are
less than the P waves.
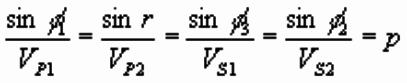
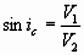
Snell’s Law
Exact angles of transmission and reflection are given by:

p is known as the ray parameter.
Critical Angles
There are two critical angles corresponding to when
transmitted P and S waves emerge at 90°.
Amplitude of Reflected and Transmitted Waves
At oblique incidence, energy transformed between P and S
waves at an interface.
Amplitudes of reflected and transmitted waves vary with
angle of incidence in a complicated wave given by Zoeppritz
equations.
Example
P wave reflection amplitude can increase at top of gas sand.
Wave Incident on Low Velocity Layer (No critical point)

Wave Incident on High Velocity Layer (P and S critical
point)

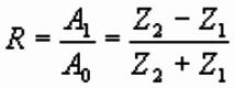
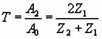
Normal Incidence Reflection Amplitudes

When angle of incidence is zero, amplitudes of reflected and
transmitted waves simplify to the expressions below.
Reflection Coefficient:

Transmission Coefficient:

where Z is the acoustic (P
wave) impedance of the layer, and is given by Z = Vr, where V is the P wave velocity and r the density.
Critical Refraction
When seismic velocity increases at an interface (V2>V1),
and the angle of incidence is increased from zero, the transmitted P wave will
eventually emerge at 90°.
Head Waves
The interaction of this wave with the interface produces
secondary sources that produce an upgoing wavefront, known as a head wave, by Huygen’s principle.
The ray associated with this head wave emerges from the
interface at the critical angle.

This phenomenon is the basis of the refraction
surveying method.
Diffractions
Reflection by Huygen’s Principle
When a plane wavefront is incident on a plane boundary, each
point of the boundary acts as a secondary source. The superposition of these
secondary waves creates the reflection.
Diffraction by Huygen’s Principle
If interface truncates abruptly, then secondary waves do not
cancel at the edge, and a diffraction is observed.


Seismic Field Record
Dynamite shot recorded using a 120-channel
recording spread

Seismic Refraction Surveying
Refraction surveys use the process of critical refraction to infer interface
depths and layer velocities.
Critical refraction requires an increase in velocity with
depth. If not, then there is no critical; refraction: Hidden layer problem.

Example
For a shallow survey, 12-24 vertical 30 Hz geophones would
be laid out to record a hammer or shotgun shot.
First Arrival Picking
In most refraction analysis, we only use the travel times of
the first arrival on each recorded seismogram.
As velocity increases at an interface, critical refraction
will become first arrival at some source-receiver offset.

First Break Picking
The onset of the first seismic wave, the first break, on each seismogram is identified
and its arrival time picked.
Example of first break picking on Strataview
field monitor

Travel Time Curves
Analysis of seismic refraction data is primarily based on
interpretation of critical refraction travel times.
Plots of seismic arrival times vs. source-receiver offset
are called travel time curves.
Example
Travel time curves for three arrivals shown previously:

Critical Distance
Offset at which critical refraction first appears.
Crossover Distance
Offset at which critical refraction becomes first arrival.
Field Surveying
Usually we analyse P wave refraction data, but S wave data
occasionally recorded
Land Surveys
Typically 12 or 24 geophones are laid out to record a shot
along a cable, with takeouts to which
geophones can be connected.

Marine Surveys
Shot firing and seismograph recording systems are housed on
a boat.
Two options for receivers:
A) Bottom-cable:
B) Sonobouys
Interpretation of Refraction Traveltime Data
After completion of a refraction survey first arrival times
are picked from seismograms and plotted as traveltime curves
Interpretation objective is to infer interface
depths and layer velocities
Data interpretation requires making assumption
about layering in subsurface: look at shape and number of different first
arrivals.
Assumptions
Analysis based on considering critical refraction raypaths
through subsurface.
[There are more sophisticated
approaches to handle non-uniform velocity and 3-D layering.]
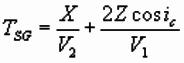
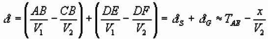
Planar Interfaces: Two Layers

For critical refraction at top of second layer,
total travel time from source S to receiver G is given by:
![]()
Hypoteneuse and horizontal side of end 90o-triangle
are:
and
respectively.
So, as two end triangles are the same:


At critical angle, Snell’s law becomes: 
Substituting for V1/ V2,
and using cos2q +
sin2q = 1:

This equation represents a straight line of slope
1/V2 and intercept

Interpretation of Two Layer Case

From traveltimes of direct arrival
and critical refraction, we can find velocities
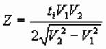
of two layers and depth to interface:
1. Velocity of layer 1 given by slope
of direct arrival
2. Velocity of layer 2 given by slope
of critical refraction
3. Estimate ti from plot and
solve for Z:

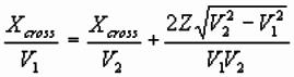
Depth from Crossover Distance
At crossover point, traveltime of direct and refraction are
equal:

Solve for Z to get:

[Depth to interface is always less than half the
crossover distance]
Planar Interfaces: Three Layer Case

In same way as for 2-layer case, can consider
triangles at ends of raypath, to get expression for traveltime.
After simplification as before:
![]()
The cosine functions can be expressed in terms of
velocities using Snell’s law along raypath of the critical refraction:

Again traveltime equation is a straight line,
with slope 1/V3 and intercept time t2.
Warning:
q1 is NOT the critical angle for refraction
at the first interface.
It is an angle of incidence along a completely
different raypath!
Interpretation of Three Layer Case
In three layer case, the arrivals are:
1. Direct arrival in first layer
2. Critical refraction at top of
seconds layer
3. Critical refraction at top of third
layer

Because, intercept time of traveltime curve from third layer
is a function of the two overlying layer thicknesses, we must solve for these
first.
Use a layer-stripping approach:
1. Solve two-layer case
using direct arrival and critical refraction from second layer to get thickness
of first layer.
2. Solve for thickness of
second layer using all three velocities and thickness of first layer just
calculated.
Planar Interfaces: Multi-Layer Case
For a subsurface of many plane horizontal layers,
the planar interface travel time equation can be generalised to:

where qi is the angle of incidence at the ith interface,
which lies at depth Zi at the base of a layer of velocity Vi.
Interpretation
Proceeds by a layer-stripping approach, solving
two-layer, three-layer, four-layer etc. cases in turn.
Dipping Planar Interfaces
When a refractor dips, the slope of the traveltime curve does not represent the
"true" layer velocity:
To determine both the layer velocity and the interface dip, forward and reverse
refraction profiles must be acquired.


Note: Travel times are equal in forward and
reverse directions for switched, reciprocal, source/receiver positions.
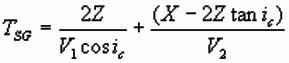
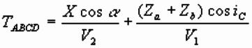
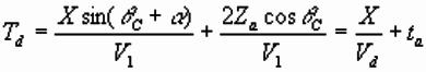
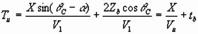
Dipping Planar Interface: Two Layer Case
Geometry is same as flat 2-layer case, but rotated
through a,
with extra time delay at D. So traveltime is:

Formulae for up/downdip times are (not proved
here):


where Vu/ Vd and tu/
td are the apparent refractor velocities and intercept times.
;

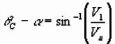
Can now solve for dip, depth and velocities:
1) Adding and subtracting, we can solve for
interface dip a and critical angle qC:
;

[V1 is known from direct arrival, and
Vu and Vd are estimated from the refraction traveltime
curves]
2) Can find layer 2 velocity from Snell’s law: 
1. Can get slant interface
depth from intercept times, and convert to vertical depth at source position:
;

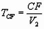
Faulted Planar Interface

If refractor faulted, then there will be a sharp
offset in the travel time curve:

Can estimate throw on fault from offset in
curves, i.e. difference between two intercept times, from simple formula:

Interpretation of Realistic Traveltime Data
With field data it is necessary to examine traveltime curves
carefully to decide on best method to use:
Surface Topography Intervening Velocity Anomaly

Refractor Topography Refractor Velocity Variation
Delay Times
For irregular traveltime curves, e.g. due to bedrock
topography or glacial fill, much analysis is based on delay times.
Total Delay Time
Difference in traveltime along actual raypath
and projection of raypath along refracting interface:
![]()

; 
Total delay time is delay time at shot plus delay time at geophone:

For small dips, can assume x=xI and:
![]()
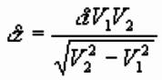
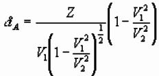
Refractor Depth from Delay Time
If velocities of both layers are known, then refractor depth
at point A can be calculated from delay time at point A:


Using RH triangle to get lengths in terms of z:


Using Snell’s law to express angles in terms of
velocities:

Simplifying:

So refractor depth at A is:

Varying Interface & Refractor Velocity:
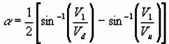
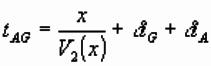
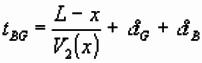
Plus-Minus Method
Hagedoorn’s Plus-Minus method used for more complex cases:
Plus-Minus:
Delay time at G given by:
![]()
which can be found from observed data.


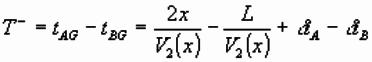
Plus and Minus Terms
Using previous figure can write down forward/
reverse traveltimes:


Minus Term
Used to determine laterally varying refractor
velocity, i.e. V2(x):

Plus Term
Determines refractor depth at a location from
delay time there:
![]()
So from delay time formula for depth, depth at G
given by:

Plot of Minus Term

A. Composite traveltime
distance plots for four different shots
B. Plot of Minus Terms: note
lateral changes in refractor velocity
Hidden Layer Problem
Layers may not be detected by first arrival analysis:
A. Velocity inversion
produces no critical refraction from layer 2
B. Insufficient velocity
contrast makes refraction difficult to identify
C.Refraction from thin layer does not become first arrival
D.Geophone spacing too large to identify second refraction

Seismic Refraction Energy Sources
Source for a seismic survey source has to be chosen bearing in
mind the possible signal attenuation that can occur, often a function of the
geology.
Requirements
There are many different seismic refraction
sources, but the most important are:
On land:
sledge hammer, weight drop, shotgun (shallow
work)
dynamite (crustal studies)
At sea:
airgun (oil exploration, crustal
studies)
Land Seismic Sources: Mechanical
Sledge Hammer
A sledge hammer is struck against a metal plate:

Inertial switch on hammer triggers data recording on impact.
Accelerated weight–drop
Mechanical system, using compressed air or thick elastic
slings, forces weight onto baseplate with greater force

Land Seismic Sources: Explosive
Buffalo Gun
Metal pipe inserted up to 1 m into the ground, and a blank
shotgun cartridge fired.

Exploding gases from gun impact ground and generate the
seismic pulse.
Dynamite
Shot holes up to 30 m are drilled, and loaded with dynamite,
which usually comes in 0.5 m plastic cylinders that can be screwed together.


Marine Seismic Sources: Airgun
Airguns are most common seismic source used at sea.
Essentially, an airgun is a cylinder that is filled with compressed
air, and then releases the air into the water.

The sudden release of air creates a sharp pressure impulse
in the water.

Airgun Bubble Oscillation
1. Air bubble from airgun
expands until pressure
of surrounding water overcomes its expansion, and forces it to contract.
2. Bubble then collapses, compressing the air until the air
pressure exceeds the water pressure, and the bubble can expand again.
3. Expansion and collapse
continues as bubble rises to surface, giving oscillatory signal characteristic of single airgun.

Land Sensor: The Geophone
Geophone is essentially only type of sensor used on land.
A geophone comprises a coil suspended from
springs inside a magnet.
When the ground vibrates in response to a passing seismic
wave, the coil moves inside the magnet, producing a voltage, and thus a
current, in the coil by induction.

Principle of Geophone
Geophone Damping
As geophone coil moves inside magnet, current induced in coil
produces a magnetic field that opposes, i.e. damps,
the movement of the coil.

Natural Frequency
Natural frequency and damping affect the range of
frequencies the geophone can record:
Marine Sensor: The Hydrophone
Hydrophones used to detect the pressure
variations in water due to a passing seismic wave.
A hydrophone comprises two piezoelectric ceramic
discs cemented to a sealed hollow canister.

Recording Instruments
Electrical output from geophone, i.e. voltage, is digitised
by recording instrumentation and written onto tape or disk.
Data are viewed on monitor records in field to check
quality.
Many different type of recording instrument available.
Example (Strataview, Geometrics)
Face of a Strataview seismograph commonly used in shallow
seismic work, and able to record up to 24 channels.

Recording Channel
Channel refers to electrical input to recording system.
Might be from a single geophone as in engineering work, or a group of 9
geophones, common in oil exploration.
Application to Assessment of Rock Quality
Seismic refraction most commonly employed where velocities
increase suddenly with depth, e.g. determining depth to bedrock.
From the estimated layer velocities estimates of rock
strength and excavation difficulty can be made.
Rippability for various common rocks:

Application to Landfill Investigation 1
Seismic methods rarely used in landfills, because seismic
waves are often attenuated in the unconsolidated materials.
Fault analysis used to find quarry height from
offset in intercepts

Application to Landfill Investigation 2
Integrity of clay cap from refraction velocities

Application to Tectonics: Structure of Ocean Crust
Fracture zones comprise active transform faults located
between the ends of spreading segments on a midocean ridge, plus their lateral
extension

Fracture zones contain some of the most rugged topography on
Earth

Crustal thickness can be measured by firing explosive shots
over seafloor deployed ocean-bottom
Reversed Refraction Profiles over Normal Ocean
Crust

Reversed Refraction Profiles along Fracture Zone

Plane Layer Solution for Normal Ocean Crust
OBS 7 OBS 6

Plane Layer Solution for Normal Fracture Zone
Crust
OBS 2 OBS 6

Fracture zone crust is thin and has low velocities due to
fracturing and hydrothermal circulation
Refraction Profile Orthogonal to Fracture Zone

Raytracing for Large Lateral Velocity Variations
