The Malaysian Journal of Analytical Sciences Vol 12
No 3 (2008): 633 - 637
MASS SPECTROMETRY OF UNNATURAL STILBENE
DIMERS
Weber, J. F. F.1, Thomas, N. F.2,
Abdul Wahab, I.1, Feroz, F.
& Buniyamin, I1*.
1Faculty of Pharmacy, Universiti Teknologi MARA,
Shah Alam, Selangor Darul Ehsan.
2Department of Chemistry, Faculty of Science, 2
Universiti Malaya, Kuala Lumpur.
*Corresponding author:
irmadany2u@yahoo.co.uk
Abstract
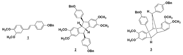
The dimerisation of 3,4-dimethoxy-12-benzyloxystilbene 1
with 15 equivalent of ferric chloride (FeCl3 ) 60% w/v for 12
hours afforded unnatural products, a pallidol-like compound 2 and an
ampelopsin F analogue, 3
(molecular formula 2
, 3 = C46H42O6).
By using High Resolution-Electron Impact Mass Spectrometer (HR-EIMS) technique,
we found that the mass spectrum of 2
showed significant mass peaks. This allows us to suggest several
fragmentations, compatible to the peaks. The mass spectrum of 2
exhibited molecular ion peak as 713.2869, compatible with the presence
of pallidol analogue (690) associated with sodium adduct (23). The loss of
methyl group gave single oxygen which presumed unstable, followed by
deformation with new bonding with proton thus giving m/z 676. m/z 508 was
resulted from the loss of benzyloxybenzene.
The base peak was indicated by the m/z 294, where bis cyclopentane
transformed to cycloocta-1,5-diene having two aromatic rings attached with
methoxy and single oxygen. The presence of 1 during fragmentation
was remarked as the fragment molecular formula compatible with m/z 242.
Meanwhile, the protonated molecular ion peak of 3
was observed to give compatible molecular formula 690. The fragmentation
of 3 exhibited the
occurrence of highly stabilized tropylium cation (C7H7+).
The loss of benzyloxybenzene and benzyloxy led to fragment having m/z 417. It
was followed by the cleavage of the
benzyloxy to present fragment with m/z 401. We concluded that the spectra were
more informative than those published from previous study.

Keywords
: synthesis, stilbene, mass
References
1. Sultanbawa,
M.U.S.; Surendrakumar, S., Bladon, P. 1987. Distichol, an antibacterial
polyphenol from Shorea disticha . Phytochemistry 26
: 799-801.
2. Ducrot, P.-H., Kollmann, A., Bala, A. E.,
Majira, A., Kerhoas, L., Delorme, R. and Einhorn, J. 1998. Cyphostemmins A-B,
two new antifungal oligostilbenes from Cyphostemma crotalarioides (Vitaceae). Tetrahedron Letters , 39
(52): 9655-9658.
3. Dai, J. R.- Hallock, Y. F., Cardellina II, J.
H., Boyd, M. R. 1998. HIV-inhibitory and cytotoxic oligostilbenes from the
leaves of Hopea malibato . J. Nat. Prod. , 61 : 351- 353.
4. Yamada, M., Hayashi, K., Hayashi, H., Ikeda,
S., Hoshino, T., Tsutsui, K., Tsutsui, K., Iinuma, M. and Nozaki, H. 2006.
Stilbenoids of Kobresia nepalensis (Cyperaceae)
exhibiting DNA Topoisomerase II inhibition. Phytochemistry , 67
(3): 307-313.
5. Weber, J. F. F., Thomas, N. F., Lee, K. C.,
Abd. Wahab, I., Awang, K., Abdul Hadi, A. H., Richomme, P. in Frontiers in Natural Product Chemistry ,
Atta-ur-Rahman, Muhammad Iqbal Choudhary & Khalid Muhammad Khan (Eds.),
Tandem stereospecific radical cation-mediated syntheses of oligostilbenoid
dimers. Vol. 1, Bentham Science Publishers, 2005, 19-30.
6. S. A. Illah, Buniyamin, I., S.S. Velu, I.
Abd. Wahab, J.F.F. Weber, N. H. Ismail, N.F. Thomas 2006. Synthesis of Stilbene
Derivatives – Comparison of the Efficiency of Palladium Reagents. 22 Annual
ndSeminar of the Malaysian Natural Products Society: Beyond Medicinal
Plants, in conjunction with 5th Asian Network of Research on Antidiabetic
Plants (ANRAP) International Seminar: Reality and Challenges in Antidiabetic
Research, 8th - 10th
Nov 2006, Kuala Lumpur.
7. Buniyamin, I. 2007. Synthesis of Natural
Stilbenoid Dimers and Unnatural Analogues. Master Thesis, Universiti Teknologi
MARA, Malaysia.
8. Thomas, N. F., Weber, J. F. F., Abd. Wahab,
I., Velu, S., Buniyamin, I., Taufik, S. A., Lee, K. C. 2004. Pharmaco-chemistry
of Malaysian timber trees. XIV. Biomimetically inspired syntheses: New insights
into the biosynthesis of the stilbenoid
dimers -viniferin and restrytisol C. 20th
Annual Seminar of the Malaysian Natural Products Society, 29th -30th November 2004, Kuching, Sarawak.
9. Thomas, N. F., Lee, K. C., Velu, S., Weber,
J. F. F., Awang, K., Rondeau, D.,
Delaunay, J. and Richomme, P. 2005. Generation and manipulation of
radical cations in biomimetic and heterocyclic syntheses. Sixth Tetrahedron
Symposium, Challenges in Organic Chemistry, 29th June-1st July 2005, Bordeaux, France.
10. Ferré-Filmon, K., Delaude, L.,
Demonceau, A., Noels, A. F. 2004. Catalytic methods for the synthesis of
stilbenes with an emphasis on their phytoalexins Coordination Chemistry Reviews . 248
(21-24): 2323-2336.
11.
Buniyamin, I., Velu, S. S., Abdul Wahab, I., Weber, J. F. F., Thomas, N.
F. 2006. Synthesis of a New rd Pallidol-Like Dimer with Catechol Substitution.
3 Life Sciences Postgraduate Conference, Penang, 24th – 27th May 2006, Universiti Sains Malaysia (USM), Penang.
12.
Khan, M. A., Nabi, S. G., Prakash, S. and Zaman, A. 1986. Pallidol, a
resveratrol dimer from Cissus pallida . Phytochemistry , 25
(8): 1945-1948.
13. Oshima, Y., Ueno, Y., Hisamichi, K.
& Takeshita, M. 1993. Ampelopsin F and G,
novel bridged plant oligostilbenes from Ampelopsis brevipedunculata var . hancei roots (Vitaceae). Tetrahedron 49 : 5801-5804.